Potential Blockbusters Likely to Gain US Market Approval in H2 2025


According to available data, over 40 new drug applications (NDAs) and supplemental NDAs are awaiting approval by US regulator the Food and Drug Administration (FDA) in the second half of the year. PharmCube reviews a number of selected applications that could signal the arrival of new blockbuster drugs:


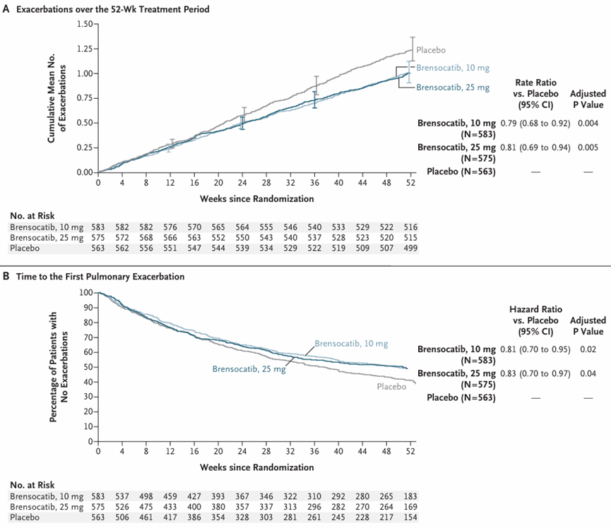
Brensocatib

Brensocatib is an oral, reversible, small-molecule dipeptidyl peptidase 1 (DPP 1) inhibitor developed by AstraZeneca (AZ). It inhibits neutrophil serine protease (NSP) activation by blocking DPP 1, thereby suppressing neutrophil-mediated inflammatory responses. In October 2016, US biopharma Insmed entered into an agreement with AZ to acquire exclusive global development and commercialisation rights for brensocatib.

The new drug application (NDA) for brensocatib is based on positive results from the Phase III ASPEN study. The trial enrolled 1,721 patients (including 41 adolescents) with non-cystic fibrosis bronchiectasis. Results showed that at week 52, the annualised pulmonary exacerbation rates in both the 10 mg and 25 mg dose groups were lower than those in the placebo group (1.02 vs 1.29, rate ratio 0.79, P=0.004; 1.04 vs 1.29, rate ratio 0.81, P=0.005). The hazard ratios for time to first exacerbation were 0.81 (P=0.02) and 0.83 (P=0.04), respectively.

Additionally, the proportions of patients who remained exacerbation-free at week 52 in the 10 mg, 25 mg and placebo groups were 48.5%, 48.5% and 40.3%, respectively, with statistically significant differences (rate ratio 1.20, P=0.02; rate ratio 1.18, P=0.04). For changes in forced expiratory volume in 1 second (FEV1), there was no significant difference between the 10 mg group and placebo (50 mL vs 62 mL, least squares mean difference 11 mL, P=0.38), but the difference between the 25 mg group and placebo was statistically significant (24 mL vs 62 mL, least squares mean difference 38 mL, P=0.04).
In terms of safety, the incidence of adverse events was similar across groups, but hyperkeratosis occurred more frequently in the brensocatib groups (1.4% vs 3.0% vs 0.7%).
Bronchiectasis is a serious chronic lung disease characterised by permanent dilation of the bronchi due to cycles of infection, inflammation and lung tissue damage. Its hallmark is frequent pulmonary exacerbations requiring antibiotic treatment and/or hospitalisation. Symptoms include chronic cough, excessive sputum production, shortness of breath and recurrent respiratory infections, which may worsen the underlying disease. According to statistics, there are approximately 500,000 patients in the US, 600,000 in the EU5 (France, Germany, Italy, Spain and the UK) and 150,000 in Japan, but no approved therapies are currently available worldwide.


Rilzabrutinib

  • Class Rank: 6/52

  • Company: Sanofi's Principia Biopharma

  • Regulatory Decision Deadline: 29 August 2025

Rilzabrutinib is an oral, reversible, covalent Bruton's tyrosine kinase (BTK) inhibitor. BTK is expressed in B cells, mast cells and other cells related to innate immune responses, playing a role in the development of various immune-mediated diseases.
The NDA for rilzabrutinib is based on positive data from the Phase III LUNA 3 study. Results showed that in patients with previously treated persistent or chronic immune thrombocytopaenia (ITP), the proportion of participants achieving durable platelet response (defined as platelet count ≥50,000/μL for at least 8 of the final 12 weeks of the 24 week double-blind treatment period without rescue therapy) was significantly higher in the rilzabrutinib group compared to placebo (23% vs 0%, P<0.0001).
ITP is a serious acquired autoimmune blood disorder characterised by autoantibody-mediated platelet destruction and impaired platelet production, leading to reduced platelet counts (<100,000/μL) and increased risk of life-threatening bleeding (such as intracranial haemorrhage). Additionally, ITP patients experience significantly impaired quality of life, including easy fatigue and cognitive dysfunction.


Pembrolizumab subcutaneous formulation

  • Class Rank: /

  • Company: MSD

  • Regulatory Decision Deadline: 23 September 2025

The NDA for pembrolizumab subcutaneous formulation (MK 3475A) is based on positive data from the Phase III MK 3475A D77 study. The study enrolled 378 adults with newly diagnosed metastatic non-small cell lung cancer (NSCLC) without EGFR sensitising mutations, ALK or ROS1 alterations.
In the study, the median injection time for subcutaneous pembrolizumab was 2 minutes. Results showed that compared to the intravenous formulation (400 mg every 6 weeks), the subcutaneous version (790 mg every 6 weeks) demonstrated non-inferiority in area under the curve (AUC) exposure of pembrolizumab during the first dosing cycle (P<0.0001) and in steady state trough concentration (Ctrough) measurements (P<0.0001).


Additionally, the subcutaneous and intravenous formulations showed comparable performance in secondary efficacy and safety endpoints: objective response rate (ORR) was 45.4% versus 42.1%, progression free survival (PFS) was 8.1 months versus 7.8 months, grade 3 to 5 treatment-related adverse event (TRAE) incidence was 47.0% versus 47.6%, and serious TRAE incidence was 21.1% versus 19.8%.


Aficamten

  • Class Rank: 2/11

  • Company: Cytokinetics

  • Regulatory Decision Deadline: 26 September 2025

Aficamten is a next-generation selective small-molecule cardiac myosin (myosin) allosteric inhibitor developed by US biopharma Cytokinetics. It works by inhibiting excessive formation of myosin-actin cross bridges to suppress myocardial hypercontractility associated with hypertrophic cardiomyopathy (HCM). In July 2020, Cytokinetics granted exclusive licensing rights for the development and commercialisation of aficamten in Greater China to CORXEL Pharmaceuticals. In December 2024, Sanofi acquired Corxel's rights to aficamten.

The NDA for aficamten is based on positive results from the Phase III SEQUOIA HCM study. The study enrolled 282 symptomatic patients with obstructive HCM to evaluate the efficacy and safety of aficamten (starting dose 5 mg, maximum dose 20 mg) versus placebo.
Results showed that at week 24, patients in the aficamten group demonstrated significantly improved exercise capacity, with a marked increase in peak oxygen uptake (pVO2) as assessed by cardiopulmonary exercise testing (CPET) (1.8 vs 0.0 mL/kg/min, least squares mean difference 1.7 mL/kg/min, P<0.001). Additionally, the study met all secondary endpoints (P<0.001) with clinically meaningful data, including changes in Kansas City Cardiomyopathy Questionnaire Clinical Summary Score (KCCQ CSS), proportion of patients with ≥1 grade improvement in New York Heart Association (NYHA) functional classification, and changes in left ventricular outflow tract gradient (LVOT G).

HCM is the most common inherited cardiovascular disease (CVD), and its prevalence is likely underestimated due to limitations in early screening methods. Current estimates suggest a prevalence of at least 1 in 200. Clinically, obstructive (resting and latent) HCM accounts for about two thirds of cases, while non-obstructive HCM accounts for about one third. HCM can lead to exertional dyspnoea, fatigue, chest pain, palpitations, syncope/presyncope, and limited exercise capacity. Furthermore, HCM is one of the leading causes of sudden death in adolescents and athletes, with disease-related mortality and disability attributable to sudden cardiac death, heart failure, and thromboembolic stroke.


Tolebrutinib

  • Class Rank: 8/52

  • Company: Sanofi

  • Regulatory Decision Deadline: 28 September 2025

Tolebrutinib is an oral, brain-penetrant BTK inhibitor that directly targets microglia and B-cells in the central nervous system (CNS), thereby inhibiting neuroinflammation and demyelination processes. This mechanism gives it potential for treating multiple sclerosis (MS).
The NDA for tolebrutinib is based on data from three Phase III studies. The HERCULES study in non-relapsing secondary progressive multiple sclerosis (nrSPMS) showed that the proportion of patients with confirmed disability progression was lower in the tolebrutinib group compared to placebo (21.9% vs 30.2%, hazard ratio (HR)=0.69, P=0.003).


The GEMINI 1 and GEMINI 2 studies in relapsing multiple sclerosis (RMS) did not meet their primary endpoints, showing no significant difference in annualised relapse rates between tolebrutinib and teriflunomide groups (GEMINI 1: 0.13 vs 0.12, P=0.67; GEMINI 2: 0.11 vs 0.11, P=0.98).


Obinutuzumab

  • Class Rank: 3/16

  • Company: Roche

  • Regulatory Decision Deadline: October 2025

Obinutuzumab is an Fc-modified anti-CD20 monoclonal antibody (mAb) developed by Roche. It has reduced complement dependent cytotoxicity (CDC) but enhanced antibody-dependent cellular cytotoxicity (ADCC) and antibody-dependent cellular phagocytosis (ADCP), along with stronger direct B-cell killing effects. The drug is currently approved for treating chronic lymphocytic leukemia (CLL), follicular lymphoma and small lymphocytic lymphoma.
The lupus nephritis indication application is based on positive results from the Phase III REGENCY study, which enrolled 271 patients with active lupus nephritis to evaluate obinutuzumab plus standard therapy (mycophenolate mofetil + prednisone) versus standard therapy alone.
At week 76, the obinutuzumab group showed higher complete renal response (CRR) rates (46.4% vs 33.1%, adjusted difference 13.4%, P=0.02). Among patients receiving ≤7 mg/day prednisone during weeks 64 to 76, CRR rates were higher with obinutuzumab (42.7% vs 30.9%, adjusted difference 11.9%, P=0.04). The obinutuzumab group also had more patients achieving urinary protein creatinine ratio (UPCR) <0.8 without complications (55.5% vs 41.9%, adjusted difference 13.7%, P=0.02).

Additionally, the obinutuzumab group showed clinically meaningful improvements in complement levels, anti-dsDNA antibody levels, disease activity and inflammatory markers compared to standard therapy.


Oral semaglutide 25mg

  • Class Rank: /

  • Company: Novo Nordisk

  • Regulatory Decision Deadline: Q4 2025

The NDA is based on positive results from the Phase III OASIS 4 study, which enrolled 307 adult participants with overweight (BMI≥27 kg/m2) or obesity (BMI≥30 kg/m2) and at least one weight-related complication (hypertension, dyslipidaemia, obstructive sleep apnoea or CVD).
The baseline weight of participants was 105.9 kg. Results showed that at week 64, participants in the 25 mg oral semaglutide group achieved 13.6% weight loss versus 2.2% in the placebo group. Among completers, weight loss was 16.6% versus 2.7% respectively. The 25 mg oral semaglutide demonstrated favourable safety and tolerability.
Oral semaglutide tablets (brand name: Rybelsus) were approved in the US in September 2019 at doses of 7 mg and 14 mg for type 2 diabetes (T2D). In addition to the 25 mg oral dose, Novo has developed a 50 mg oral semaglutide and initiated three Phase III studies (OASIS 1 to 3) to evaluate its weight loss effects, with OASIS 1 already completed.


Depemokimab

  • Class Rank: 3/5

  • Company: GSK

  • Regulatory Decision Deadline: 16 December 2025

Depemokimab is a next-generation ultra long-acting interleukin-5 (IL-5) mAb developed by GSK, featuring extended half-life, high binding affinity and potency with dosing every six months. GSK's first-generation IL-5 inhibitor NUCALA (mepolizumab), requiring monthly dosing, was approved in the US in November 2015. According to GSK financial reports, mepolizumab generated approximately USD 2.22 billion in global sales in 2024.
The asthma indication application is based on positive results from two Phase III studies (SWIFT 1 and SWIFT 2), which enrolled 792 patients with severe eosinophilic asthma. After 52 weeks of treatment, the depemokimab group (100 mg subcutaneous injection every 26 weeks) plus standard therapy showed significantly lower annualised asthma exacerbation rates versus placebo plus standard therapy (SWIFT 1: 0.46 vs 1.11, P<0.001; SWIFT 2: 0.56 vs 1.08, P<0.001). However, changes in St George's Respiratory Questionnaire (SGRQ) scores showed no statistically significant differences between groups in either study.


The chronic rhinosinusitis with nasal polyps (CRSwNP) indication application is based on two Phase III studies (ANCHOR 1 and ANCHOR 2) involving 540 CRSwNP patients. After 52 weeks, the depemokimab group showed significantly greater reductions in total nasal endoscopic polyp scores (ANCHOR 1: least squares mean difference -0.7, P<0.001; ANCHOR 2: -0.6, P=0.004) and nasal congestion scores assessed by verbal rating scale (VRS) during weeks 49 to 52 (ANCHOR 1: -0.23, P=0.047; ANCHOR 2: -0.25, P=0.025) versus placebo. Both studies showed similar overall incidence and severity of treatment-emergent adverse events (TEAEs) between depemokimab and placebo groups.


Featured Articles
2026 Pipeline Alpha: 100 Emerging Drug Targets to Watch
2026-03-11
How Culmerciclib Broke into the Crowded CDK4/6 Field
2026-03-04
MSD 2025: Keytruda Reaches New High, Offsetting China HPV Competition
2026-03-04
Searching Clinical Guidelines in PharmCube's Clinical Research Database
2025-11-25
AbbVie Q3'25: Immunology Duo Generates USD 18.5b in 9 Months
2025-11-05